109. Satellite

Area riservata alla discussione dei problemi teorici di fisica
Flaffo
Messaggi: 211
Iscritto il: 16 mar 2016, 17:01
Località: Roma

109. Satellite

Messaggio da Flaffo » 21 nov 2016, 22:07

A causa dell'attrito con l'aria, satelliti abbandonati, alla fine della loro vita utile, perdono energia negli strati alti dell'atmosfera prima di essere completamente distrutti negli strati più bassi dell'atmosfera. Un satellite di massa , in orbita circolare, è abbandonato. La forza di attrito sul satellite può essere espressa come dove , è la densità dell'atmosfera a quella quota e è la velocità del satellite.

1. Il satellite accelera o decelera? Come può essere spiegata la risposta precedente dal punto di vista della dinamica?
2. Trovare una relazione tra l'accelerazione (negativa o positiva) tangenziale del satellite e la forza di attrito.
3. Qual è la densità dell'atmosfera a se in questa regione il raggio dell'orbita del satellite diminuisce di ogni rivoluzione intorno alla terra?
"No, no, you're not thinking; you're just being logical. "

Ciccio98
Messaggi: 32
Iscritto il: 27 apr 2016, 20:44

Re: 109. Satellite

Messaggio da Ciccio98 » 21 nov 2016, 23:55

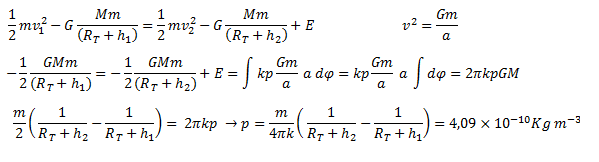
Per il punto 3 ho considerato che la forza di attrito ha stesso verso e direzione del vettore velocità e per piccoli spostamenti è applicabile la definizione di L= Fxs cos a, dove a è uguale a 0 pertanto il coseno è sempre 1
Allegati
Soluzione Satellite.png
Soluzione Satellite.png (6.54 KiB) Visto 7794 volte

Flaffo
Messaggi: 211
Iscritto il: 16 mar 2016, 17:01
Località: Roma

Re: 109. Satellite

Messaggio da Flaffo » 22 nov 2016, 0:15

Perfetto! :D

Vai con il punto 1 e 2 ;)
"No, no, you're not thinking; you're just being logical. "

Ciccio98
Messaggi: 32
Iscritto il: 27 apr 2016, 20:44

Re: 109. Satellite

Messaggio da Ciccio98 » 27 nov 2016, 22:38

Scusa il ritardo ma ho avuto un fine settimana impegnato. La mia soluzione è questa, se è corretta scrivo il procedimento. Ho solo un dubbio: l'accelerazione penso che dovrebbe essere positiva poiché avvicinandosi alla Terra dovrebbe aumentare la sua velocità anche se nei calcoli compare un segno meno.
Allegati
soluzione satellite punto 1-2.png
soluzione satellite punto 1-2.png (1.67 KiB) Visto 7723 volte

Flaffo
Messaggi: 211
Iscritto il: 16 mar 2016, 17:01
Località: Roma

Re: 109. Satellite

Messaggio da Flaffo » 28 nov 2016, 1:13

Infatti l'accelerazione deve essere positiva (il perché lo dovresti spiegare nel primo punto.. se solo li facessi in ordine :lol: :D ). La formula che hai ottenuto per l'accelerazione, segni a parte, è sbagliata.

Prova a ragionare in termini di energia e poi derivando delle cose ti ottieni l'acelerazione.
"No, no, you're not thinking; you're just being logical. "

guido
Messaggi: 178
Iscritto il: 25 ago 2016, 16:59
Località: siena

Re: 109. Satellite

Messaggio da guido » 29 nov 2016, 12:38

Non ho potuto collegarmi per motivi tecnici. Per il punto 1: si, l'accelerazione come la forza d'attrito è diretta verso l'alto, è positiva, tende a tenere in quota il satellite, è di segno opposto a quella gravitazionale negativa. Per la comprensione del testo al punto 2: l'accelerazione tangenziale di cui parli è quella tangente alla traiettoria diretta come v o quella perpendicolare a r? Perchè nel primo caso le forze agenti sarebbero quella di attrito e la componente lungo v della forza gravitazionale?

Flaffo
Messaggi: 211
Iscritto il: 16 mar 2016, 17:01
Località: Roma

Re: 109. Satellite

Messaggio da Flaffo » 29 nov 2016, 16:48

Si, mi riferisco a quella tangente alla traiettoria. Abbiamo la forza di attrito negativa (verso opposto al moto) e la componente della forza gravitazionale ovviamente positiva (la traiettoria è una spirale..)
"No, no, you're not thinking; you're just being logical. "

Ciccio98
Messaggi: 32
Iscritto il: 27 apr 2016, 20:44

Re: 109. Satellite

Messaggio da Ciccio98 » 29 nov 2016, 17:23

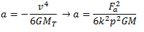
Mi sembra troppo semplice, ma quindi a=(kpv^2)/m ) ???? In questo modo la spirale sarebbe il contributo della forza gravitazionale e della forza di attrito che si oppone al moto del satellite.

Flaffo
Messaggi: 211
Iscritto il: 16 mar 2016, 17:01
Località: Roma

Re: 109. Satellite

Messaggio da Flaffo » 29 nov 2016, 18:25

Esatto, semplice infatti :lol:
Posta il procedimento ;)
"No, no, you're not thinking; you're just being logical. "

guido
Messaggi: 178
Iscritto il: 25 ago 2016, 16:59
Località: siena

Re: 109. Satellite

Messaggio da guido » 29 nov 2016, 18:57

Io lo posto in maniera diversa da come avevi suggerito a Ciccio per non pestargli i piedi. Dalla legge di Newton essendo il coseno dell'angolo fra r e v. Da questa si ricava
:?: :?:
Il primo termine al secondo membro è la componente secondo la tangente dell'accelerazione gravitazionale.

Mi pare che venga lo stesso risultato facendo la derivata dell'energia totale rispetto al tempo e ponendola uguale alla potenza della forza d'attrito :?: :?:
Anche se il mio risultato fosse giusto la staffetta secondo me spetterebbe comunque a Ciccio :!: :!:

Rispondi