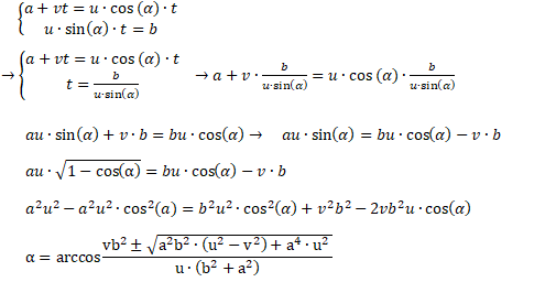
Babbo Natale vede elfo che corre a velocità

mentre dorme. Quando si sveglia elfo deve orientare

in modo che la risultante con

giaccia sulla diagonale del rettangolo di lati a e b tracciata a partire da elfo in modo che elfo possa puntare Babbo Natale. Si ottiene così la direzione di

e la sua inclinazione rispetto alla verticale. Infatti tracciato

orizzontale verso sinistra a partire da elfo si riporta di seguito

che ha l'intensità data ruotandolo fino a che il suo secondo estremo non giaccia sulla diagonale del rettangolo. Si riporta il vettore

così individuato a partire da elfo e si vede che l'angolo

richiesto con la verticale può essere nagativo (a sinistra della verticale), nullo (sulla verticale) o positivo (a destra della verticale). Dipende dall'intensità assegnata u. Da notare che questa deve essere maggiore o almeno uguale alla distanza del secondo estremo di

dalla diagonale, che è facile trovare algebricamente dalla figura, altrimenti elfo non può raggiungere la slitta. Se questa soluzione è corretta essa è secondo me molto più interessante di quella algebrica, concettualmente banale e calcolosa
